上海师范大学天华学院2023年春季考试招生
预录取、候补资格分数线及考生名单
分数线

备注:1.总分(合成分)=统一文化考试成绩+院校自主测试成绩;
2.预录取、候补资格考生名单见附件。
预录取及候补录取规则:同一专业志愿考生按春季高考总分从高到低排序(总分相同则按外语成绩、语文成绩、数学成绩次序优先排序),按招生计划的100%公布预录取考生名单,按不超过招生计划的50%顺位公布候补录取资格考生名单。
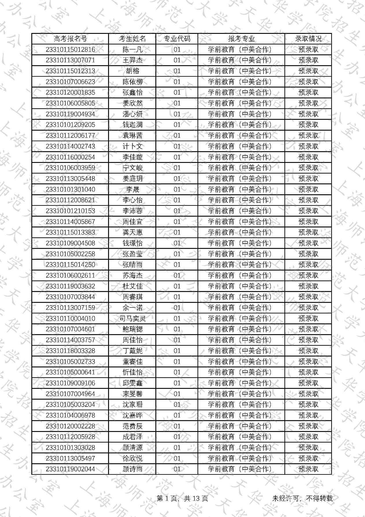
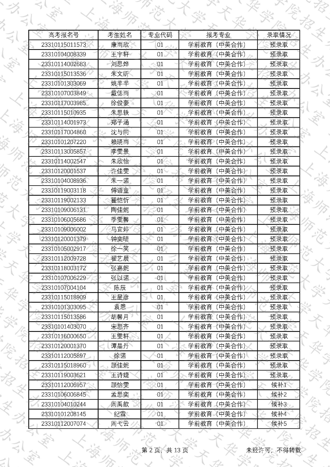
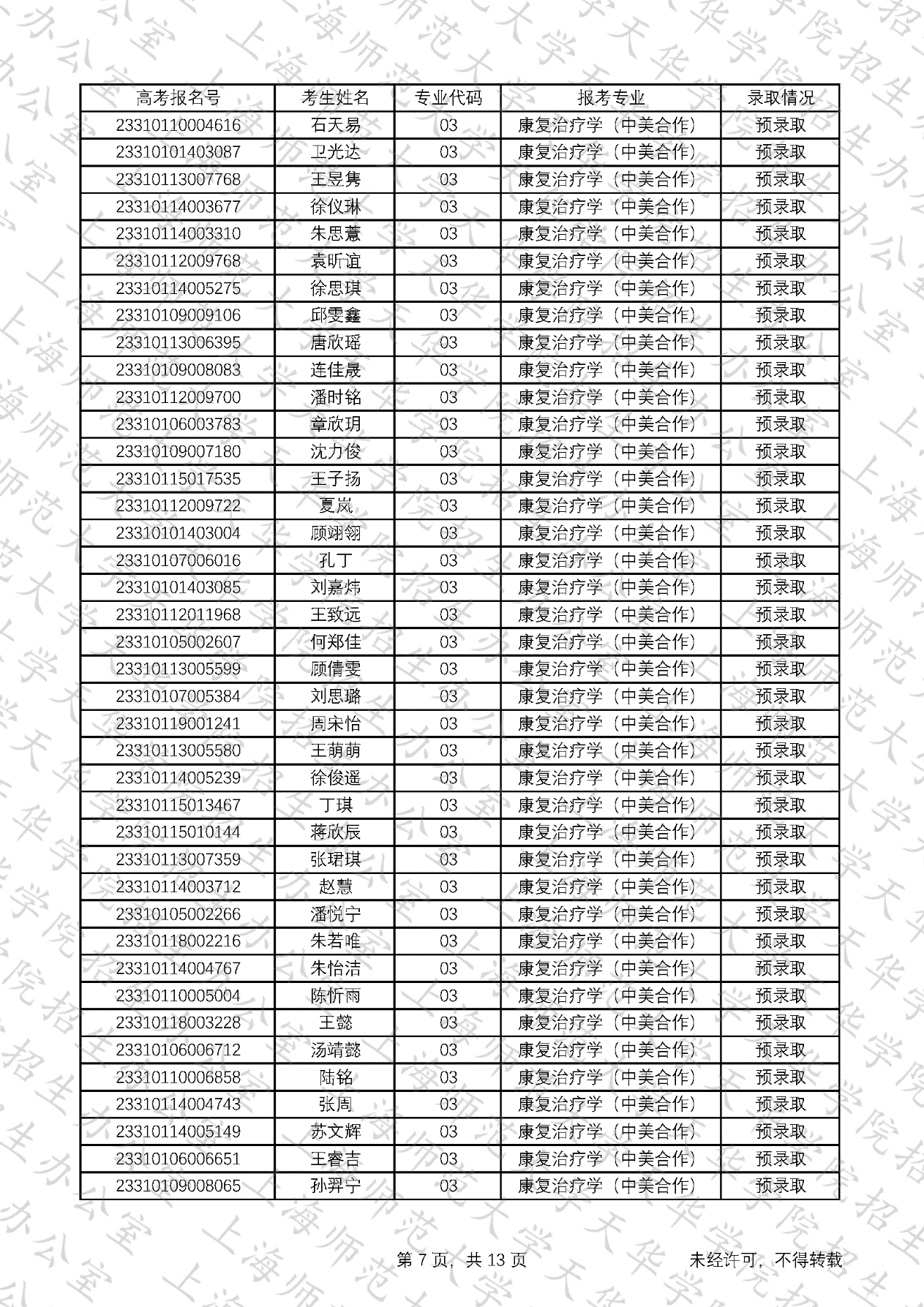
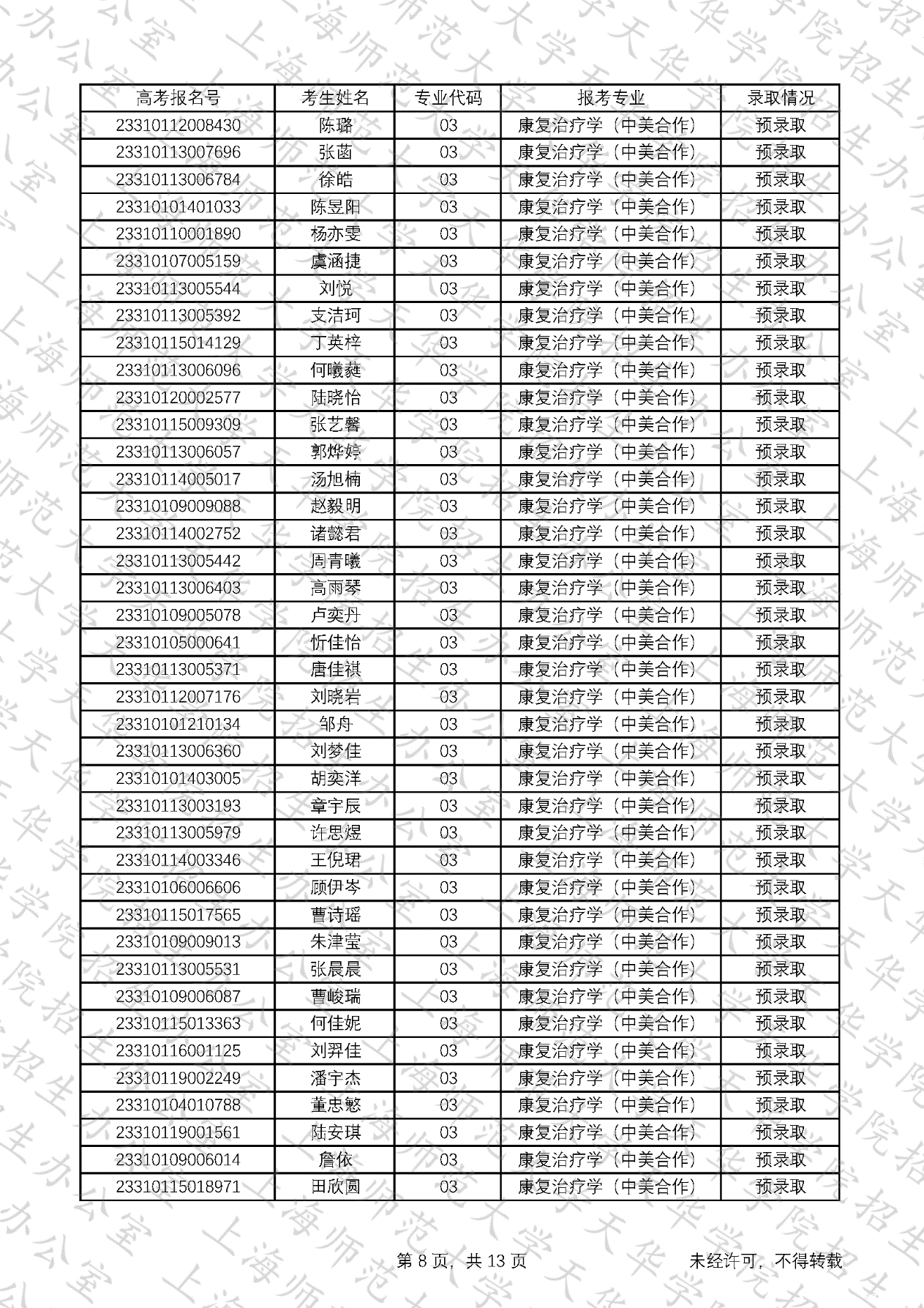
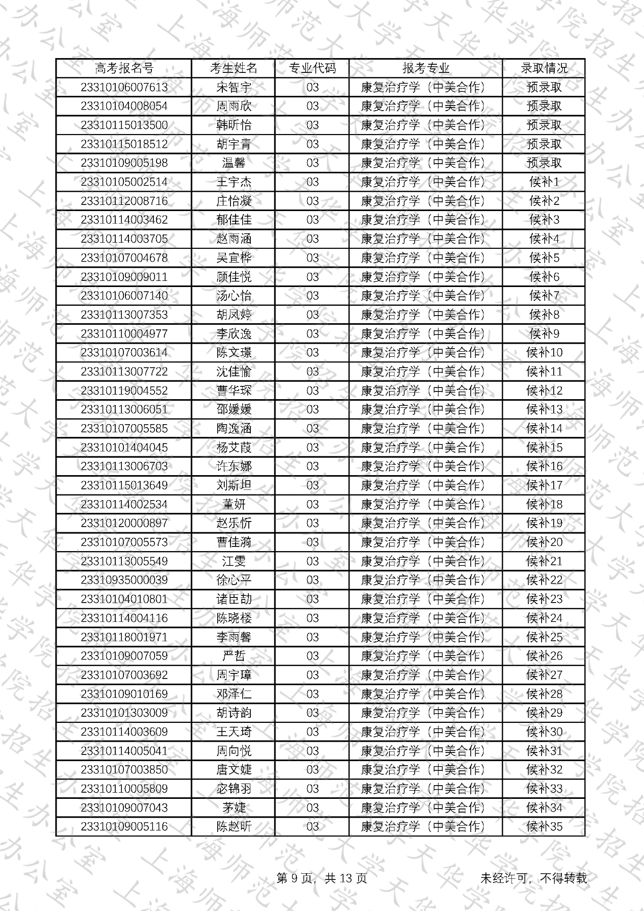
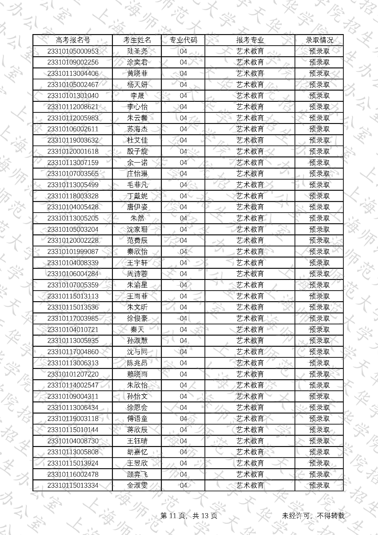
预录取考生名单、候补资格考生名单













上海师范大学天华学院2023年春季考试招生
预录取、候补资格分数线及考生名单
分数线

备注:1.总分(合成分)=统一文化考试成绩+院校自主测试成绩;
2.预录取、候补资格考生名单见附件。
预录取及候补录取规则:同一专业志愿考生按春季高考总分从高到低排序(总分相同则按外语成绩、语文成绩、数学成绩次序优先排序),按招生计划的100%公布预录取考生名单,按不超过招生计划的50%顺位公布候补录取资格考生名单。
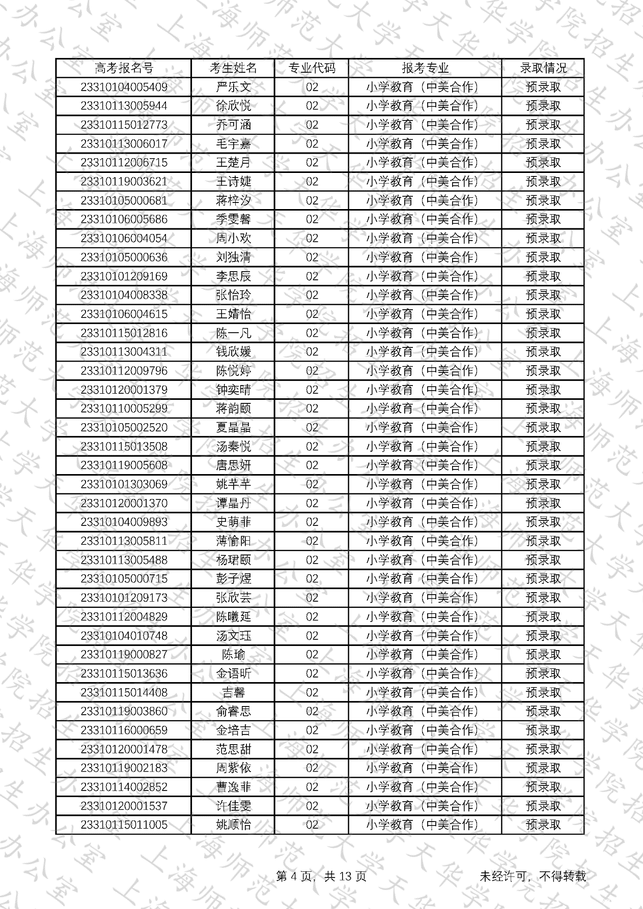
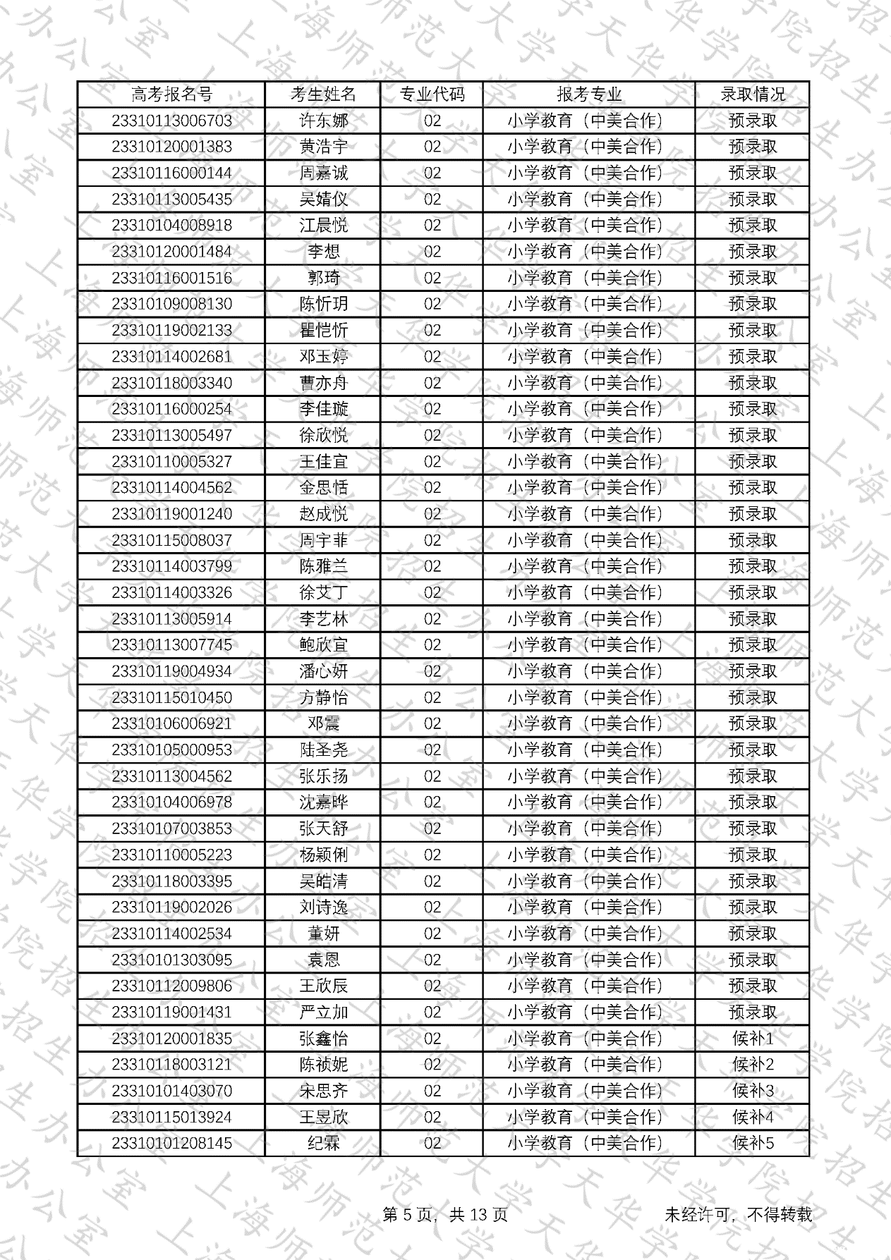
预录取考生名单、候补资格考生名单












