作者:招生办公室(2023-02-16)
上海师范大学天华学院
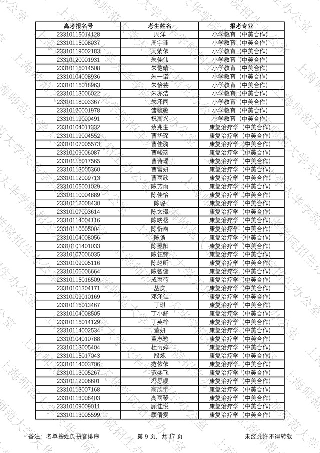
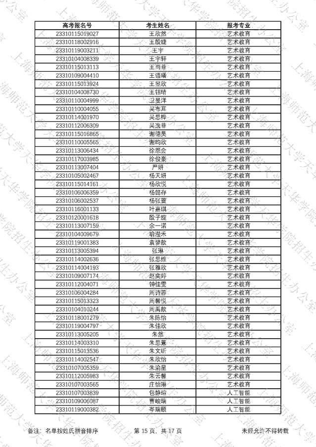
2023年春季招生校测入围资格线
备注:入围资格线不等于录取线。
2023年2月16日
附件:
Copyright © 1946伟德手机版 版权所有 学校地址:上海嘉定区胜辛北路1661号 邮政编码:201815 沪ICP备 10034587号-3 电话 021-39966666