上海师范大学天华学院2022年春季招校测入围资格线
| 序号 | 招生专业 | 入围资格线 | 备注 |
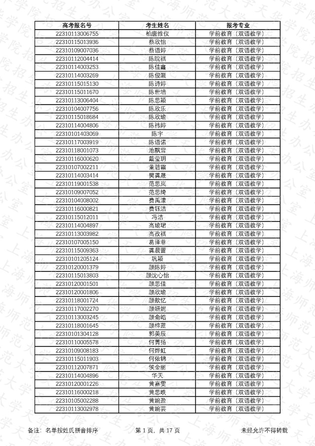
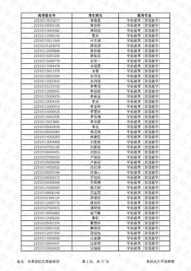
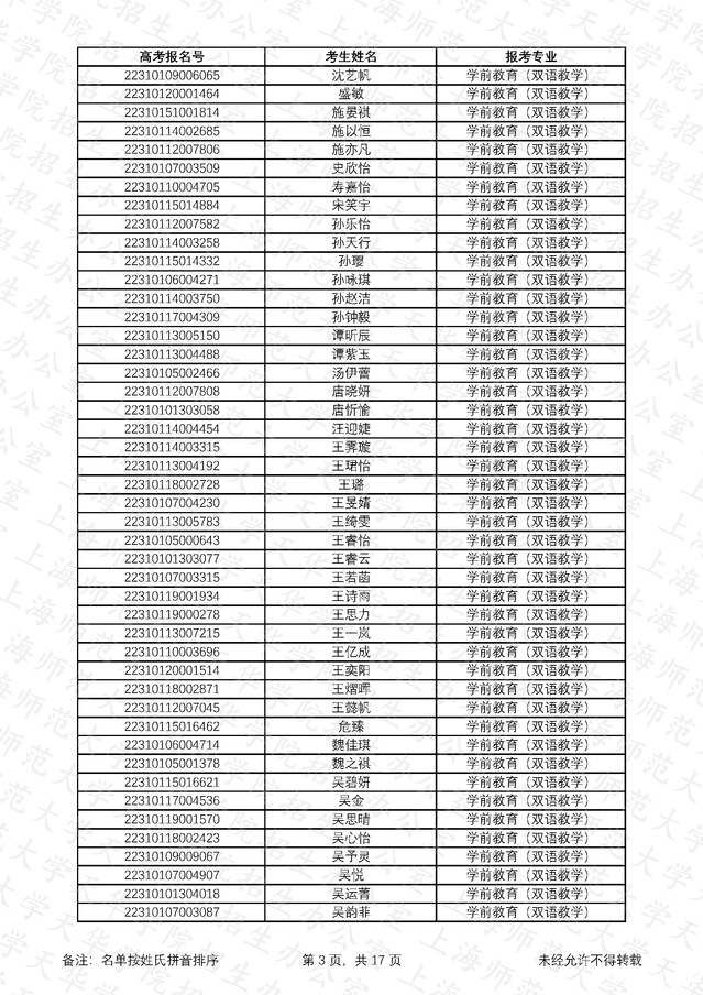
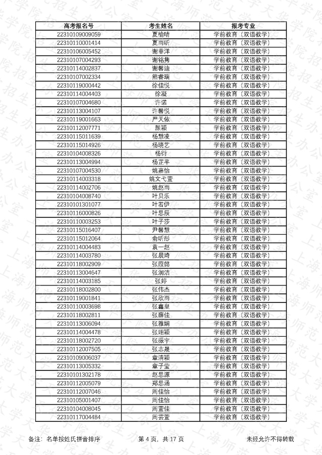
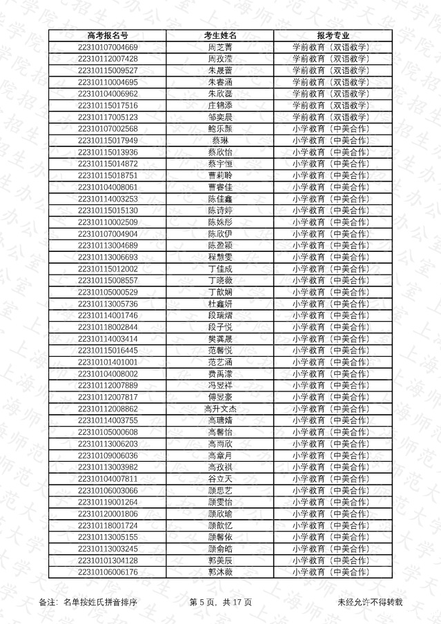
| 1 | 学前教育(双语教学) | ≥276分 | 考生名单见附件 |
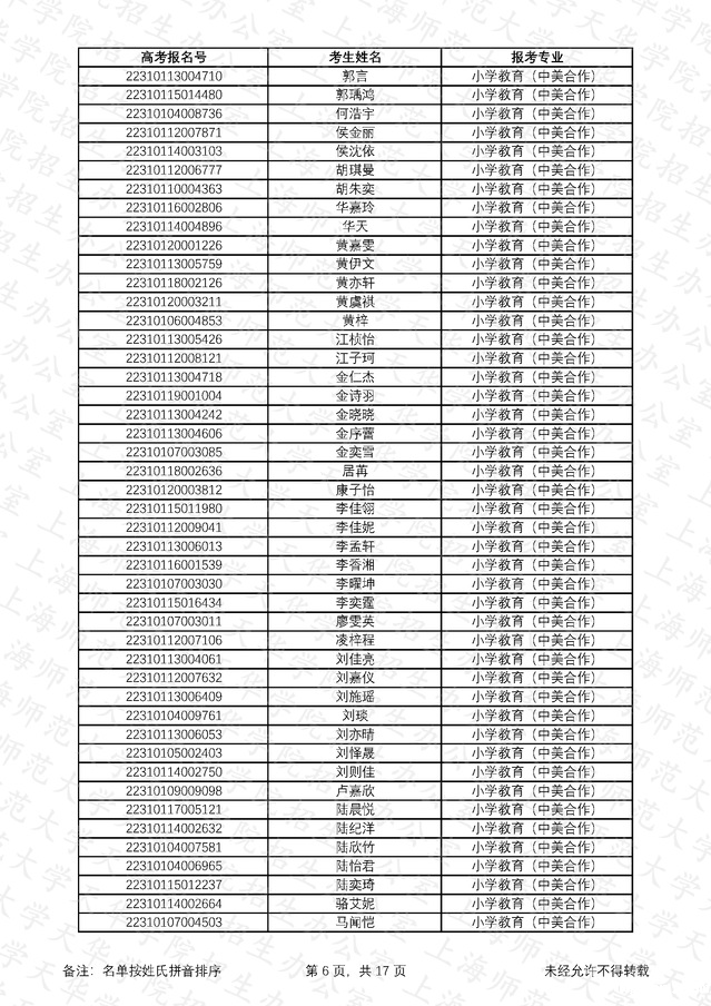
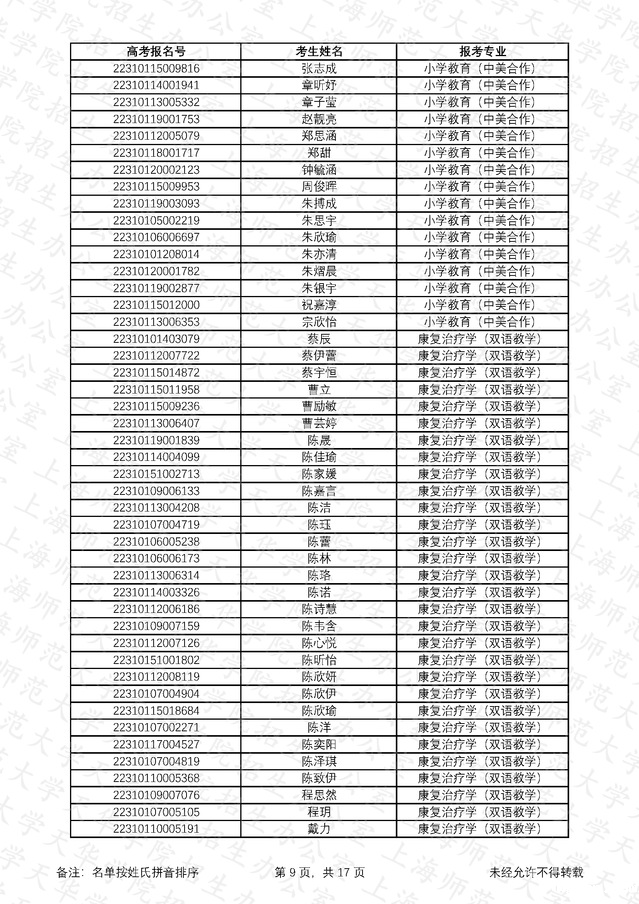
| 2 | 小学教育(中美合作) | ≥278分 | |
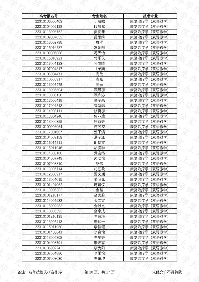
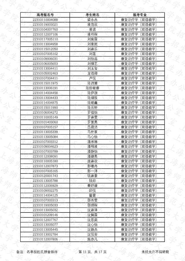
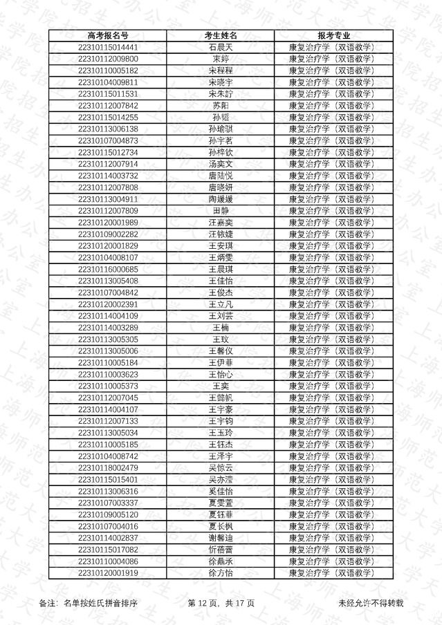
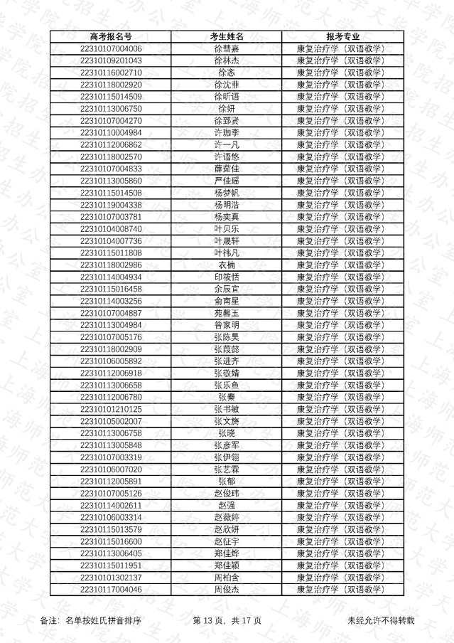
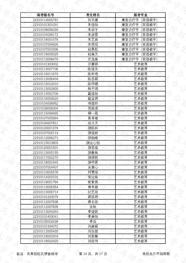
| 3 | 康复治疗学(双语教学) | ≥262分 | |
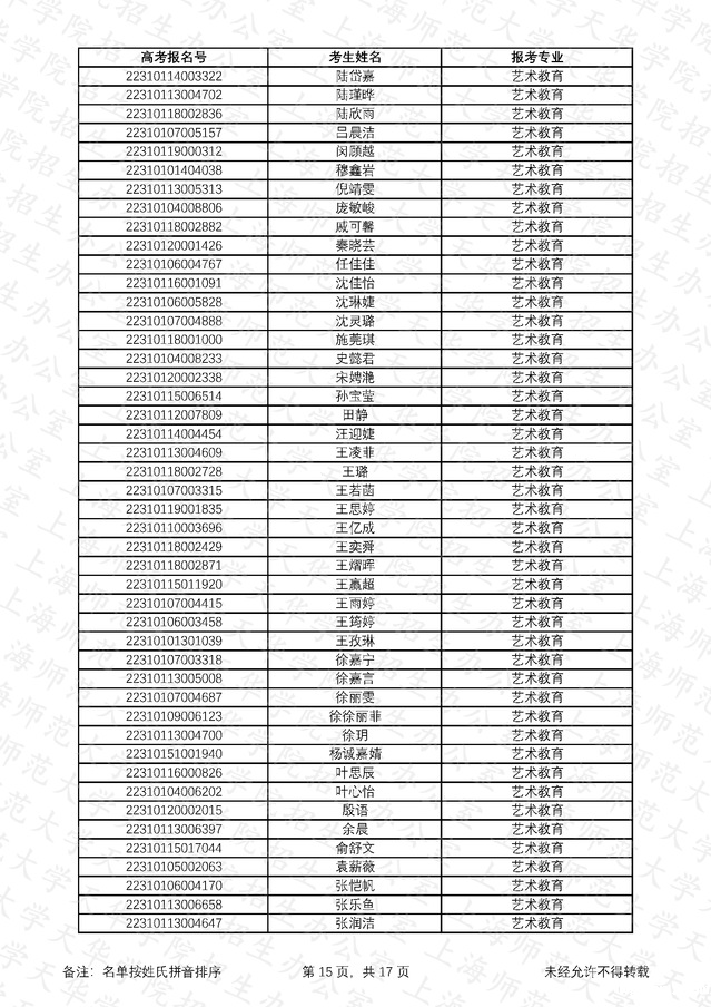
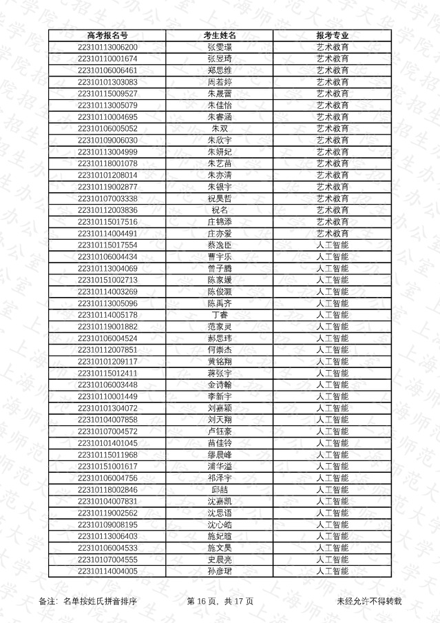
| 4 | 艺术教育 | ≥268分 | |
| 5 | 人工智能 | ≥256分 |
备注:入围资格线不等于录取线。
上海师范大学天华学院
2022年2月22日
附件:

















上海师范大学天华学院2022年春季招校测入围资格线
| 序号 | 招生专业 | 入围资格线 | 备注 |
| 1 | 学前教育(双语教学) | ≥276分 | 考生名单见附件 |
| 2 | 小学教育(中美合作) | ≥278分 | |
| 3 | 康复治疗学(双语教学) | ≥262分 | |
| 4 | 艺术教育 | ≥268分 | |
| 5 | 人工智能 | ≥256分 |
备注:入围资格线不等于录取线。
上海师范大学天华学院
2022年2月22日
附件:
















